哪些產業需要用到3DCS?
使用GD&T來取代線性公差可以有兩個好處
1.當要節省成本時可以多出57%的公差區域,減少不良品的數量
2.當要提高品質時,可以減少17%的不良區域,提升產品品質
以下為節省成本的狀況說明:
GD&T號稱有降低成本的功能,這是真的嗎?
這樣說好了,要求供應商提供高精度的零件,比起較低精度的零件,成本要來的低。
如果我零件功能不被影響,但公差變異區域稍微多出57%左右呢?(等一下,這已經不能說是"稍微"了吧!!!)成本肯定能夠降低的吧!但是,這個可能嗎?
舉例:
以線性的公差標註,我的公差區域是±1mm,因此我的公差區域會呈現一個2×2的正方形
軸心的變異如下圖(使用掃出效果顯示):
黑色的小方塊為軸心的位置,藍色的方形區域為公差變異區。
問題來了,藍色方形區域的角落是允收的(偏移距離為2的開根號,約為1.41421),那為什麼軸心左側只能偏移到1而不是1.41421呢?
於是GD&T定義了圓形的公差變異區,以這個例子來說,把公差放寬到半徑為1.41421的公差區域
紅色的小方塊為放寬後的軸心位置,紅色的圓為半徑1.41421的公差變異區。
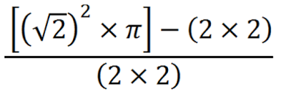
接著我們可以算算看到底多出了多少的面積,
增加比例=(圓形公差區-方形公差區)/方形公差區
答案大概是0.57,也就是多出57%的公差區域
這個答案還是不包含額外的公差(包括紅利公差與基準偏移)
GD&T帶來更大的允收範圍,放寬公差,減少原本會被廢除的允收料件,除了這些還有額外公差以及固定檢具的設計,快速檢驗減少,量測的時間成本,所以GD&T是真的能夠降低成本的。
以下為提高品質的狀況說明:
舉例:
以線性的公差標註,我的公差區域是±1mm,因此我的公差區域會呈現一個2×2的正方形
下圖紅色箭頭所指出的圓為直徑2mm的圓,可以視為誤差都在±1mm
但是圖中的灰色區域都是超過±1mm的範圍,綠色箭頭所指的位置最大是1.414mm。 代表如果使用線性公差最差的情況會是1.414mm,但我們的規定是±1mm。多出41%的誤差量。 使GD&T取代線性公差可以避免圖中灰色區域的過大變異,而灰色區域面積占比為21.5%
代表使用GD&T可以減少21.5%的不良結果。
台灣CAE-QA論壇
全世界的CAE使用者遇到問題時一定都上網找過答案,但有時候答案真的不好找,多希望有專業顧問可以解答。
鑫威資訊建立了自己的CAE-QA論壇,期望讓全世界CAE使用者都能在這裡找到最適合的答案!
免費註冊!! <<前往QA>>
我有疑問、想知道更多!🙋↓↓↓歡迎提問!
鑫威資訊官網












